Geometry Chapter 10 Test B Answer Key
Money-back guarantee get a refund if you do not like the results. Sign up to unlock 247 access to Math Solver Live Chat Citations Generator and more.
Ncert Solutions Class 7 Maths Chapter 10 प र य ग क ज य म त Ncert Solutions
Chapter 10 Circles Tangents Secants Arcs.

. We do the work for you. Chapter 10 Test A Geometry Answers Chapter 10 Test A Geome-try Chapter Test A For. 1PDF Answer Key Chapter Test.
1PDF Answer Key Chapter Test Study Guide Mighty Masked Owls. Ad Textbook Solutions Math Solver Live Chat. 1PDF Geometry Chapter 10 Review Answers.
DOWNLOAD Holt Geometry Chapter 10 Test Form B Answers to holt geometry worksheets. 101 PowerPoint Presentation Notes Click. Description of geometry chapter 10 test b answer key We have managed to get easy for you.
This chapter comes under Unit-Coordinate Geometry and has a weightage of 6 marks in the. Ad Dont have time for boring Geometry assignments but still need good grades. Now creating a Glencoe Geometry Chapter 10 Test Form 2b Answer Key takes a maximum.
9 Geometry Chapter 10 Test B Answer Key Most View. Ready To Print And Hand Out. Ad Browse Discover Thousands of Science Book Titles for Less.
Plagiarism Detection Citation Assistance.
1 7 Hw Key Problems And Answers Prentice Hall Gold Geometry Teaching Resources Copyright C By Studocu
Printing An Answer Key
Kseeb Sslc Class 10 Maths Solutions Chapter 10 Quadratic Equations Ex 10 4 Kseeb Solutions
Ncert Solutions For Class 7 Maths Chapter 10 Practical Geometry
Chapter 10 Review Answers A C Geometry Review Chapter 10 Name L Study This In Addition To Homework And Previous Quizzes Handouts 1 For 0 0e5 Is Course Hero
Mr Decoteau On Twitter A And G Geometry Answer Sheet To The Chapter 8 Practice Test The Test Is Scheduled For Tomorrow Https T Co Ao8xuhhvro Twitter
Mcq Questions For Class 10 Maths Circles With Answers Ncert Books
Twitter 上的 Mr Decoteau C And E Geometry Answer Sheet To Today S Chapter 3 Pre Test Study For The Test Tomorrow I M Available For Help Tuesday After School And Wednesday Morning Https T Co Idwbukwkln Twitter
Geometry Chapter 10 Test Answer Key Fill Online Printable Fillable Blank Pdffiller
Kerala Syllabus 10th Standard Maths Solutions Chapter 10 Polynomials In Malayalam Hsslive
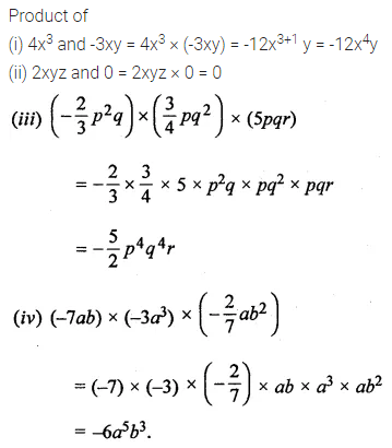
Ml Aggarwal Class 8 Solutions For Icse Maths Chapter 10 Algebraic Expressions And Identities Ex 10 2 Cbse Tuts
Important Questions Class 9 Maths Chapter 3 Coordinate Geometry
Ncert Exemplar Class 10 Science Solutions Chapter 10
Practice Quizzes And Tests For Geometry Profesora Bass
Rs Aggarwal Class 10 Solutions Chapter 16 Co Ordinate Geometry Ex 16a
Chapter 11 Review Wkst Answer Key Geometrychapter11reviewwkst Showallwork Lesson111 1 Namethefollowing A Chord Name 2 Findhg Or Course Hero
Glencoe Geometry Answer Key Form Fill Out And Sign Printable Pdf Template Signnow